Torna indietro
Concentrazioni di NH3, NO2 e NO3 nei corpi idrici di transizione (2013). Nota: NH3, NO2 e NO3 in µg/l
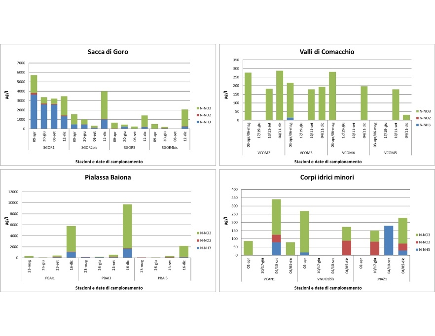
Concentrazioni di NH3, NO2 e NO3 nei corpi idrici di transizione (2014). Nota: NH3, NO2 e NO3 in µg/l
Concentrazioni di NH3, NO2 e NO3 nei corpi idrici di transizione (2015). Nota: NH3, NO2 e NO3 in µg/l
Concentrazioni di NH3, NO2 e NO3 nei corpi idrici di transizione (2016). Nota: NH3, NO2 e NO3 in µg/l
Concentrazioni di NH3, NO2 e NO3 nei corpi idrici di transizione (2017). Nota: NH3, NO2 e NO3 in µg/l
Concentrazioni di NH3, NO2 e NO3 nei corpi idrici di transizione (2018). Nota: NH3, NO2 e NO3 in µg/l
Concentrazioni di NH3, NO2 e NO3 nei corpi idrici di transizione (2019). Nota: NH3, NO2 e NO3 in µg/l
Concentrazioni di NH3, NO2 e NO3 nei corpi idrici di transizione (2020). Nota: NH3, NO2 e NO3 in µg/l
Concentrazioni di NH3, NO2 e NO3 nei corpi idrici di transizione (2021). Nota: NH3, NO2 e NO3 in µg/l
Concentrazioni di NH3, NO2 e NO3 nei corpi idrici di transizione (2022). Nota: NH3, NO2 e NO3 in µg/l
Concentrazioni di NH3, NO2 e NO3 nei corpi idrici di transizione (2023). Nota: NH3, NO2 e NO3 in µg/l
13
14
15
16
17
18
19
20
21
22
23
Stato di qualità dei corpi idrici per il DIN in funzione della salinità (2013). Nota: salinità in psu; DIN in µg/l
Stato di qualità dei corpi idrici per il DIN in funzione della salinità (2014). Nota: salinità in psu; DIN in µg/l
Stato di qualità dei corpi idrici per il DIN in funzione della salinità (2015). Nota: salinità in psu; DIN in µg/l
Stato di qualità dei corpi idrici per il DIN in funzione della salinità (2016). Nota: salinità in psu; DIN in µg/l
Stato di qualità dei corpi idrici per il DIN in funzione della salinità (2017). Nota: salinità in psu; DIN in µg/l
Stato di qualità dei corpi idrici per il DIN in funzione della salinità (2018). Nota: salinità in psu; DIN in µg/l
Stato di qualità dei corpi idrici per il DIN in funzione della salinità (2019). Nota: salinità in psu; DIN in µg/l
Stato di qualità dei corpi idrici per il DIN in funzione della salinità (2020). Nota: salinità in psu; DIN in µg/l
Stato di qualità dei corpi idrici per il DIN in funzione della salinità (2021). Nota: salinità in psu; DIN in µg/l
Stato di qualità dei corpi idrici per il DIN in funzione della salinità (2022). Nota: salinità in psu; DIN in µg/l
Stato di qualità dei corpi idrici per il DIN in funzione della salinità (2023). Nota: salinità in psu; DIN in µg/l
13
14
15
16
17
18
19
20
21
22
23
Rappresentazione territoriale dello stato di qualità dei corpi idrici per il DIN in funzione della salinità (2013)
Rappresentazione territoriale dello stato di qualità dei corpi idrici per il DIN in funzione della salinità (2014)
Rappresentazione territoriale dello stato di qualità dei corpi idrici per il DIN in funzione della salinità (2015)
Rappresentazione territoriale dello stato di qualità dei corpi idrici per il DIN in funzione della salinità (2016)
Rappresentazione territoriale dello stato di qualità dei corpi idrici per il DIN in funzione della salinità (2017)
Rappresentazione territoriale dello stato di qualità dei corpi idrici per il DIN in funzione della salinità (2018)
Rappresentazione territoriale dello stato di qualità dei corpi idrici per il DIN in funzione della salinità (2019)
Rappresentazione territoriale dello stato di qualità dei corpi idrici per il DIN in funzione della salinità (2020)
Rappresentazione territoriale dello stato di qualità dei corpi idrici per il DIN in funzione della salinità (2021)
Rappresentazione territoriale dello stato di qualità dei corpi idrici per il DIN in funzione della salinità (2022)
Rappresentazione territoriale dello stato di qualità dei corpi idrici per il DIN in funzione della salinità (2023)
13
14
15
16
17
18
19
20
21
22
23
Concentrazioni di NH3, NO2 e NO3











Stato di qualità dei corpi idrici per il DIN











Mappe stato di qualità dei corpi idrici per il DIN









